

撰文丨王聪
编辑丨王多鱼
排版丨水成文
艾滋病(HIV)是获得性免疫缺陷综合征的简称,由感染HIV病毒引起。HIV是一种能攻击人体免疫系统的病毒,它把人体免疫系统中最重要的CD4+T细胞作为主要攻击目标,大量破坏该细胞,经过数年、甚至长达10年或更长的潜伏期后发展成艾滋病病人,使人体丧失免疫功能,因抵抗力极度下降会出现多种感染,后期常常发生恶性肿瘤,以至全身衰竭而死亡。
据联合国艾滋病规划署数据,目前全球范围内现存HIV携带者和艾滋病患者人数高达3800万人。艾滋病目前还不能治愈,但抗逆转录病毒药物(ART)等可以让艾滋病患者可以抑制患者体内的HIV病毒,让他们相对健康的生活。
Lenacapavir是由吉利德科学开发的一款同类首创(first-in-class)的HIV-1衣壳抑制剂,已被美国FDA批准联合其它抗逆转录病毒药物(ART)治疗多重耐药的艾滋病成人患者。重要的是,Lenacapavir是FDA批准的最长效的艾滋病治疗药物——只需每半年用药1次。这让需要终身使用的艾滋病疗法变得更容易、更简单、更安全和更高效。
近日,耶鲁大学医学院的研究人员在《柳叶刀》子刊 The Lancet HIV 上发表了题为:Efficacy and safety of the novel capsid inhibitor lenacapavir to treat multidrug-resistant HIV: week 52 results of a phase 2/3 trial 的研究论文。


Lenacapavir是一种以前从未存在过的新型抗逆转录病毒药物(ART),由于其新颖性,该药物具有很高的治疗成功率,这是因为患者之前没有接触过该药物,这解决了当前艾滋病治疗药物的最大难题之一——耐药性。
对于艾滋病患者而言,随着治疗的进行,一些患者会对治疗药物产生耐药性。此外,还有一些人是从具有耐药性的患者那里感染了HIV病毒。
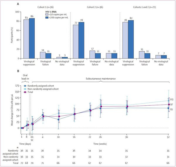
这项2/3期临床试验旨在评估Lenacapavir在具有多重耐药性的艾滋病成年患者中长达一年(52周)的治疗疗效和安全性。参与者分为两个队列,每个队列36人。在队列1中,36名参与者按2:1随机分配口服Lenacapavir+现有失败的治疗方案或安慰剂+现有失败的治疗方案。两周后,口服Lenacapavir组接受Lenacapavir皮下注射治疗,每26周(半年)注射1次;安慰剂组患者则开始使用Lenacapavir治疗(口服用药2周后皮下注射)。队列1在两周后开始采用优化的背景治疗方案。在队列2中(非随机),36名参与者直接开始优化的背景治疗方案,同时使用Lenacapavi治疗(先口服再皮下注射)。


临床设计方案
在治疗两周后,对队列1的参与者进行检测,Lenacapavir治疗组的24名患者中有21人(88%)体内HIV-1病毒拷贝数下降了一半以上,而安慰剂组的12名患者中只有2人(17%)体内HIV-1病毒拷贝数下降了一半以上。研究团队表示,这些患者由于多重耐药,只有非常有限的治疗选择,而Lenacapavir帮助80%以上的多重耐药患者显著降低了体内HIV-1病毒拷贝数,这一效果简直不可思议。而在治疗一年时(第52周),队列1的36名参与者中有30人(83%)的HIV-1病毒拷贝数低于50拷,31人(86%)低于200拷贝/mL。
在治疗第一年时(第52周)的数据显示,接受Lenacapavir治疗有助于增强患者的免疫系统。这可能转化为更好地预防可能出现的机会性感染,例如沙门氏菌感染和结核病,从而降低相关死亡风险。


治疗52周时的病毒学和免疫学应答
这种新型药物是如何发挥作用的?
Lenacapavir是一种HIV病毒衣壳的抑制剂,HIV病毒衣壳包含病毒的RNA和蛋白质,HIV依赖衣壳进入人类细胞病在细胞内复制。Lenacapavir能够发挥两种作用,首先,通过阻止HIV到达受感染细胞的细胞核,从而阻止病毒的整合和复制;其次,针对已经郑道人类基因组中的HIV,Lenacapavir干扰病毒后代的产生,使它们有缺陷,从而不能感染其他细胞。Lenacapavir在HIV生命周期的早期和晚期都能破坏其复制。因此,相比其他抗逆转录病毒药物往往只针对病毒复制中的某一个环节,Lenacapavir能够对抗多重耐药性。
更重要的是,Lenacapavir能够长效发挥作用,只需每半年注射治疗一次。


研究团队表示,Lenacapavir除了治疗艾滋病外,似乎还具有预防HIV-1感染的独特能力,他们目前正在其他研究中招募参与者,以进一步评估这一效果。
简化多重耐药患者的治疗方案
研究团队表示,Lenacapavi为那些以前没有任何好的治疗选择的人打开了一扇简化治疗的大门。此外,病人必须到医院接受该药物的注射治疗,这给了医务人员更多的控制,可以确保患者正确地使用药物,并及时用药,防止遗漏剂量,它还减少了与每天服用药物可能带来的污名化。
研究团队总结道,在艾滋病治疗领域,要为多重耐药性艾滋病患者找到简单的治疗方法一直是一个挑战,而Lenacapavir的获批上市是一个值得自豪的事。